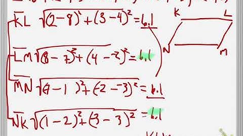
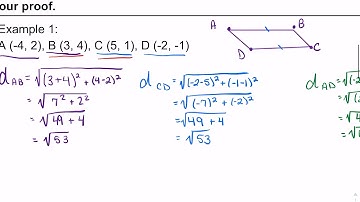
Geometry 6.3b, Proving Parallelograms in the Coordinate Plane

Tonton & Download Video Musik Gratis

⬇ DOWNLOAD NOW
Kalau muncul iklan pop-up, tutup lalu klik tombol kembali

Download lagu Geometry 6.3b, Proving Parallelograms in the Coordinate Plane secara gratis hanya untuk keperluan promosi. Dukung artis favorit kamu dengan membeli musik original di iTunes atau platform resmi lainnya.