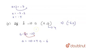
1. Write down a pair of integers whose: (a) sum is –7 (b) difference is –10 (c) sum is 0

Tonton & Download Video Musik Gratis

⬇ DOWNLOAD NOW
Kalau muncul iklan pop-up, tutup lalu klik tombol kembali

Download lagu 1. Write down a pair of integers whose: (a) sum is –7 (b) difference is –10 (c) sum is 0 secara gratis hanya untuk keperluan promosi. Dukung artis favorit kamu dengan membeli musik original di iTunes atau platform resmi lainnya.