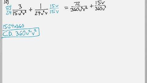
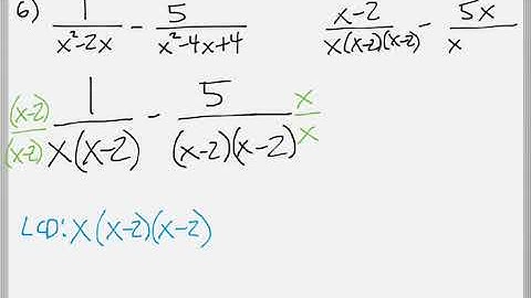
Math 119 : 7.3 #7 (Intermediate Algebra Tutorial : Complex Rational Expressions)

Tonton & Download Video Musik Gratis

⬇ DOWNLOAD NOW
Kalau muncul iklan pop-up, tutup lalu klik tombol kembali

Download lagu Math 119 : 7.3 #7 (Intermediate Algebra Tutorial : Complex Rational Expressions) secara gratis hanya untuk keperluan promosi. Dukung artis favorit kamu dengan membeli musik original di iTunes atau platform resmi lainnya.