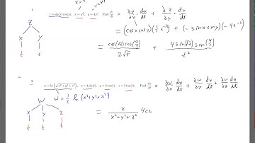
Use the Chain Rule to find dw/dt - Problem 14.5.8 Cengage Calculus

Tonton & Download Video Musik Gratis

⬇ DOWNLOAD NOW
Kalau muncul iklan pop-up, tutup lalu klik tombol kembali

Download lagu Use the Chain Rule to find dw/dt - Problem 14.5.8 Cengage Calculus secara gratis hanya untuk keperluan promosi. Dukung artis favorit kamu dengan membeli musik original di iTunes atau platform resmi lainnya.