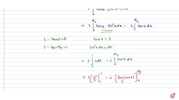
Prove that `int_0^(pi/4) 2tan^3xdx=1-log2`...

Tonton & Download Video Musik Gratis

⬇ DOWNLOAD NOW
Kalau muncul iklan pop-up, tutup lalu klik tombol kembali

Download lagu Prove that `int_0^(pi/4) 2tan^3xdx=1-log2`... secara gratis hanya untuk keperluan promosi. Dukung artis favorit kamu dengan membeli musik original di iTunes atau platform resmi lainnya.