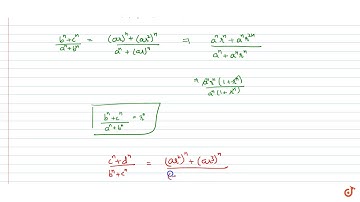
Misc Ch9 Q17 XI If a, b, c, d are in G.P, prove that (a n +b n ),(b n +c n ),(c n +d n ) are in G.P.

Tonton & Download Video Musik Gratis

⬇ DOWNLOAD NOW
Kalau muncul iklan pop-up, tutup lalu klik tombol kembali

Download lagu Misc Ch9 Q17 XI If a, b, c, d are in G.P, prove that (a n +b n ),(b n +c n ),(c n +d n ) are in G.P. secara gratis hanya untuk keperluan promosi. Dukung artis favorit kamu dengan membeli musik original di iTunes atau platform resmi lainnya.