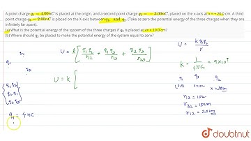
A point charge \(q_1=4 q_0\) is placed at origin. Another point charge \(q_2=-q_0\) is placed at....

Tonton & Download Video Musik Gratis

⬇ DOWNLOAD NOW
Kalau muncul iklan pop-up, tutup lalu klik tombol kembali

Download lagu A point charge \(q_1=4 q_0\) is placed at origin. Another point charge \(q_2=-q_0\) is placed at.... secara gratis hanya untuk keperluan promosi. Dukung artis favorit kamu dengan membeli musik original di iTunes atau platform resmi lainnya.