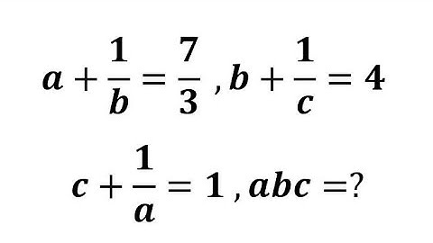
If a+1/b = 7/3, b+1/c=4 and c+1/a = 1 then find abc = ? | Algebra Challenge

Tonton & Download Video Musik Gratis

⬇ DOWNLOAD NOW
Kalau muncul iklan pop-up, tutup lalu klik tombol kembali

Download lagu If a+1/b = 7/3, b+1/c=4 and c+1/a = 1 then find abc = ? | Algebra Challenge secara gratis hanya untuk keperluan promosi. Dukung artis favorit kamu dengan membeli musik original di iTunes atau platform resmi lainnya.