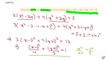
Find the equation to the ellipse (referred to its axes as the axes of ltmath gt ltmrow gt l

Tonton & Download Video Musik Gratis

⬇ DOWNLOAD NOW
Kalau muncul iklan pop-up, tutup lalu klik tombol kembali

Download lagu Find the equation to the ellipse (referred to its axes as the axes of ltmath gt ltmrow gt l secara gratis hanya untuk keperluan promosi. Dukung artis favorit kamu dengan membeli musik original di iTunes atau platform resmi lainnya.