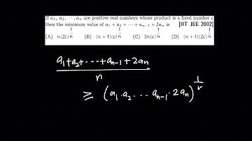
If a_1, a_2, …, a_n are positive real numbers whose product is a fixed number e, the minimum valu...

Tonton & Download Video Musik Gratis

⬇ DOWNLOAD NOW
Kalau muncul iklan pop-up, tutup lalu klik tombol kembali

Download lagu If a_1, a_2, …, a_n are positive real numbers whose product is a fixed number e, the minimum valu... secara gratis hanya untuk keperluan promosi. Dukung artis favorit kamu dengan membeli musik original di iTunes atau platform resmi lainnya.