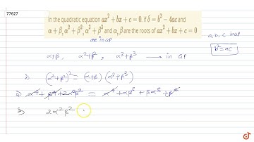
Let `alpha` and `beta` be the roots of the equation `ax^2+bx+c=0` and `Delta=b^2-4ac`. Given `...

Tonton & Download Video Musik Gratis

⬇ DOWNLOAD NOW
Kalau muncul iklan pop-up, tutup lalu klik tombol kembali

Download lagu Let `alpha` and `beta` be the roots of the equation `ax^2+bx+c=0` and `Delta=b^2-4ac`. Given `... secara gratis hanya untuk keperluan promosi. Dukung artis favorit kamu dengan membeli musik original di iTunes atau platform resmi lainnya.