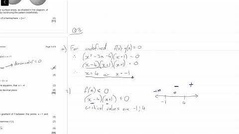
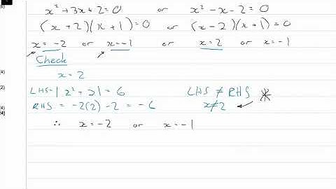
2018 Final|Matric IEB AP Maths Paper 1|Question 9| Integration

Tonton & Download Video Musik Gratis

⬇ DOWNLOAD NOW
Kalau muncul iklan pop-up, tutup lalu klik tombol kembali

Download lagu 2018 Final|Matric IEB AP Maths Paper 1|Question 9| Integration secara gratis hanya untuk keperluan promosi. Dukung artis favorit kamu dengan membeli musik original di iTunes atau platform resmi lainnya.