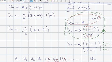
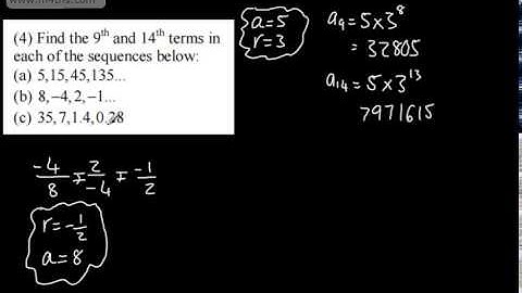
Core 2 - Geometric Sequences and Series 1 - Intro basics (C2 Edexcael A Level Maths)

Tonton & Download Video Musik Gratis

⬇ DOWNLOAD NOW
Kalau muncul iklan pop-up, tutup lalu klik tombol kembali

Download lagu Core 2 - Geometric Sequences and Series 1 - Intro basics (C2 Edexcael A Level Maths) secara gratis hanya untuk keperluan promosi. Dukung artis favorit kamu dengan membeli musik original di iTunes atau platform resmi lainnya.