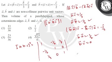
\( (\vec{a} \times \vec{b}) \cdot(\vec{c} \times \vec{d}) \) is equ...

Tonton & Download Video Musik Gratis

⬇ DOWNLOAD NOW
Kalau muncul iklan pop-up, tutup lalu klik tombol kembali

Download lagu \( (\vec{a} \times \vec{b}) \cdot(\vec{c} \times \vec{d}) \) is equ... secara gratis hanya untuk keperluan promosi. Dukung artis favorit kamu dengan membeli musik original di iTunes atau platform resmi lainnya.