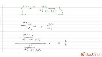
If ^n C_r-1=36,^n C_r=84 and ^n C_r+1=126, find n and r.

Tonton & Download Video Musik Gratis

⬇ DOWNLOAD NOW
Kalau muncul iklan pop-up, tutup lalu klik tombol kembali

Download lagu If ^n C_r-1=36,^n C_r=84 and ^n C_r+1=126, find n and r. secara gratis hanya untuk keperluan promosi. Dukung artis favorit kamu dengan membeli musik original di iTunes atau platform resmi lainnya.