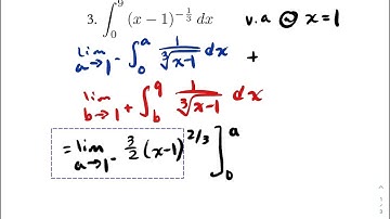
Improper Integrals Overview pt 3 | Single Variable Calculus for Sci & Eng | Griti

Tonton & Download Video Musik Gratis

⬇ DOWNLOAD NOW
Kalau muncul iklan pop-up, tutup lalu klik tombol kembali

Download lagu Improper Integrals Overview pt 3 | Single Variable Calculus for Sci & Eng | Griti secara gratis hanya untuk keperluan promosi. Dukung artis favorit kamu dengan membeli musik original di iTunes atau platform resmi lainnya.