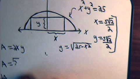
Calculus: Maximum-Mimimum Problem With Constraints (Optimization) Example #1

Tonton & Download Video Musik Gratis

⬇ DOWNLOAD NOW
Kalau muncul iklan pop-up, tutup lalu klik tombol kembali

Download lagu Calculus: Maximum-Mimimum Problem With Constraints (Optimization) Example #1 secara gratis hanya untuk keperluan promosi. Dukung artis favorit kamu dengan membeli musik original di iTunes atau platform resmi lainnya.