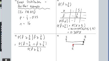
Experimental statistics: Sampling Distribution of sample proportion examples solution/Urdu/MSc/Lec 3

Tonton & Download Video Musik Gratis

⬇ DOWNLOAD NOW
Kalau muncul iklan pop-up, tutup lalu klik tombol kembali

Download lagu Experimental statistics: Sampling Distribution of sample proportion examples solution/Urdu/MSc/Lec 3 secara gratis hanya untuk keperluan promosi. Dukung artis favorit kamu dengan membeli musik original di iTunes atau platform resmi lainnya.