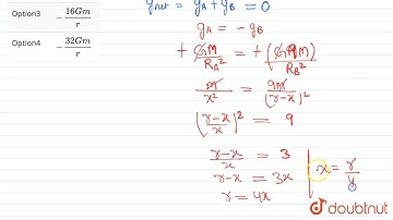
Two particles of masses 'm' and '9m' are separated by a distance 'r'. At a point on the line NEET23

Tonton & Download Video Musik Gratis

⬇ DOWNLOAD NOW
Kalau muncul iklan pop-up, tutup lalu klik tombol kembali

Download lagu Two particles of masses 'm' and '9m' are separated by a distance 'r'. At a point on the line NEET23 secara gratis hanya untuk keperluan promosi. Dukung artis favorit kamu dengan membeli musik original di iTunes atau platform resmi lainnya.