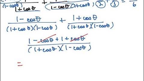
TRIGONOMETRY SOLVE FOR X WHEN IT IS IN THE DENOMINATOR

Tonton & Download Video Musik Gratis

⬇ DOWNLOAD NOW
Kalau muncul iklan pop-up, tutup lalu klik tombol kembali

Download lagu TRIGONOMETRY SOLVE FOR X WHEN IT IS IN THE DENOMINATOR secara gratis hanya untuk keperluan promosi. Dukung artis favorit kamu dengan membeli musik original di iTunes atau platform resmi lainnya.