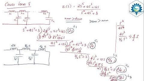
NAS45: Cauer Form of Circuit Realization Network Analysis | Cauer form 1 and 2 | LC network

Tonton & Download Video Musik Gratis

⬇ DOWNLOAD NOW
Kalau muncul iklan pop-up, tutup lalu klik tombol kembali

Download lagu NAS45: Cauer Form of Circuit Realization Network Analysis | Cauer form 1 and 2 | LC network secara gratis hanya untuk keperluan promosi. Dukung artis favorit kamu dengan membeli musik original di iTunes atau platform resmi lainnya.