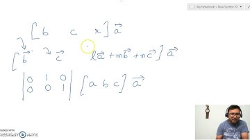
Let \( \mathbf{a}, \mathbf{b} \) and \( \mathbf{c} \) be three non-coplanar vectors and \( \math...

Tonton & Download Video Musik Gratis

⬇ DOWNLOAD NOW
Kalau muncul iklan pop-up, tutup lalu klik tombol kembali

Download lagu Let \( \mathbf{a}, \mathbf{b} \) and \( \mathbf{c} \) be three non-coplanar vectors and \( \math... secara gratis hanya untuk keperluan promosi. Dukung artis favorit kamu dengan membeli musik original di iTunes atau platform resmi lainnya.