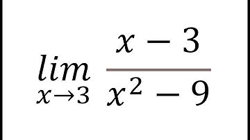
Limit of (x - 3)/(x^2 - 9) as x Approaches 3 with Factoring and using L'hopital's rule

Tonton & Download Video Musik Gratis

⬇ DOWNLOAD NOW
Kalau muncul iklan pop-up, tutup lalu klik tombol kembali

Download lagu Limit of (x - 3)/(x^2 - 9) as x Approaches 3 with Factoring and using L'hopital's rule secara gratis hanya untuk keperluan promosi. Dukung artis favorit kamu dengan membeli musik original di iTunes atau platform resmi lainnya.