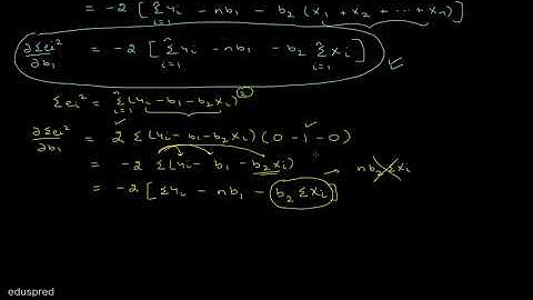
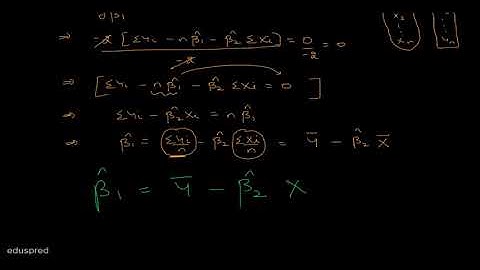
Derivation of Intercept's Estimator using OLS Method (Simple Linear Regression)

Tonton & Download Video Musik Gratis

⬇ DOWNLOAD NOW
Kalau muncul iklan pop-up, tutup lalu klik tombol kembali

Download lagu Derivation of Intercept's Estimator using OLS Method (Simple Linear Regression) secara gratis hanya untuk keperluan promosi. Dukung artis favorit kamu dengan membeli musik original di iTunes atau platform resmi lainnya.