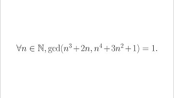
Show that gcd(a^(2^m)+1, a^(2^n)+1)= 1 or 2 [NT-Ch.2-S2.5] - Part 15

Tonton & Download Video Musik Gratis

⬇ DOWNLOAD NOW
Kalau muncul iklan pop-up, tutup lalu klik tombol kembali

Download lagu Show that gcd(a^(2^m)+1, a^(2^n)+1)= 1 or 2 [NT-Ch.2-S2.5] - Part 15 secara gratis hanya untuk keperluan promosi. Dukung artis favorit kamu dengan membeli musik original di iTunes atau platform resmi lainnya.