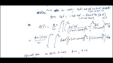
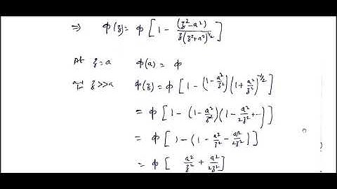
L16.1 Solving the Potential for a Sphere with Hemispheres at Different Potentials

Tonton & Download Video Musik Gratis

⬇ DOWNLOAD NOW
Kalau muncul iklan pop-up, tutup lalu klik tombol kembali

Download lagu L16.1 Solving the Potential for a Sphere with Hemispheres at Different Potentials secara gratis hanya untuk keperluan promosi. Dukung artis favorit kamu dengan membeli musik original di iTunes atau platform resmi lainnya.