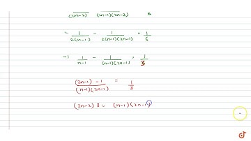
If the coefficients of 2nd, 3rd and 4th terms in the expansion of `(1+x)^n \ , nin NN` are i

Tonton & Download Video Musik Gratis

⬇ DOWNLOAD NOW
Kalau muncul iklan pop-up, tutup lalu klik tombol kembali

Download lagu If the coefficients of 2nd, 3rd and 4th terms in the expansion of `(1+x)^n \ , nin NN` are i secara gratis hanya untuk keperluan promosi. Dukung artis favorit kamu dengan membeli musik original di iTunes atau platform resmi lainnya.