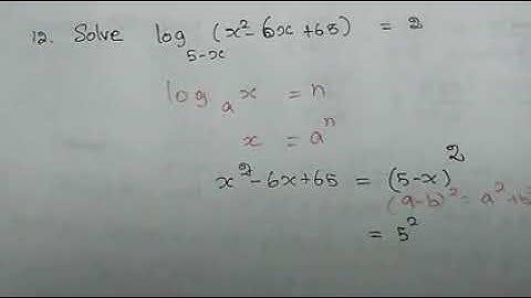
Tn 11th maths exercise 2.12 question 12/Solve log (x^2-6x+65) base 5-x=2

Tonton & Download Video Musik Gratis

⬇ DOWNLOAD NOW
Kalau muncul iklan pop-up, tutup lalu klik tombol kembali

Download lagu Tn 11th maths exercise 2.12 question 12/Solve log (x^2-6x+65) base 5-x=2 secara gratis hanya untuk keperluan promosi. Dukung artis favorit kamu dengan membeli musik original di iTunes atau platform resmi lainnya.