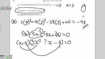
A-level Maths C2 Core 2 OCR June 2010 q1 - Factor & Remainder Theorems

Tonton & Download Video Musik Gratis

⬇ DOWNLOAD NOW
Kalau muncul iklan pop-up, tutup lalu klik tombol kembali

Download lagu A-level Maths C2 Core 2 OCR June 2010 q1 - Factor & Remainder Theorems secara gratis hanya untuk keperluan promosi. Dukung artis favorit kamu dengan membeli musik original di iTunes atau platform resmi lainnya.