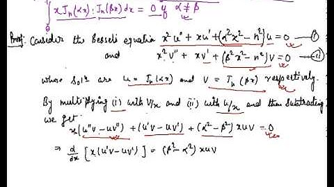
bessel's function, property of bessel's function, show that J3/2(x)=√(2/πx)[(sinx-xcosx)/x]

Tonton & Download Video Musik Gratis

⬇ DOWNLOAD NOW
Kalau muncul iklan pop-up, tutup lalu klik tombol kembali

Download lagu bessel's function, property of bessel's function, show that J3/2(x)=√(2/πx)[(sinx-xcosx)/x] secara gratis hanya untuk keperluan promosi. Dukung artis favorit kamu dengan membeli musik original di iTunes atau platform resmi lainnya.