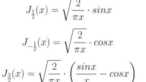
Bessel's Functions J1/2(x) and J(-1/2)(x) || Series Solutions || Dr Prashant Patil || 18MAT21

Tonton & Download Video Musik Gratis

⬇ DOWNLOAD NOW
Kalau muncul iklan pop-up, tutup lalu klik tombol kembali

Download lagu Bessel's Functions J1/2(x) and J(-1/2)(x) || Series Solutions || Dr Prashant Patil || 18MAT21 secara gratis hanya untuk keperluan promosi. Dukung artis favorit kamu dengan membeli musik original di iTunes atau platform resmi lainnya.