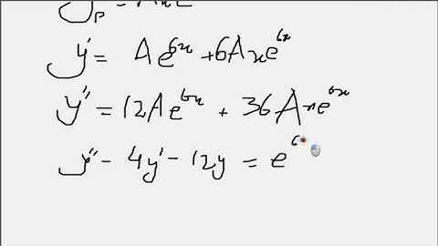
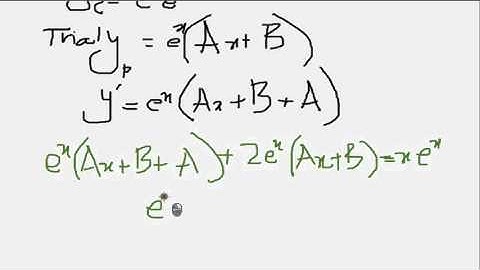
Undetermined Coefficient Method If the fx = trigonometric and exponential term by Munir Nizami

Tonton & Download Video Musik Gratis

⬇ DOWNLOAD NOW
Kalau muncul iklan pop-up, tutup lalu klik tombol kembali

Download lagu Undetermined Coefficient Method If the fx = trigonometric and exponential term by Munir Nizami secara gratis hanya untuk keperluan promosi. Dukung artis favorit kamu dengan membeli musik original di iTunes atau platform resmi lainnya.