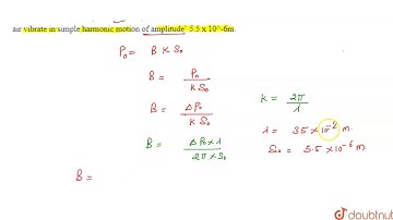
Calculate the bulk modulus of air from the following data about a sound wave of wavelength travellin

Tonton & Download Video Musik Gratis

⬇ DOWNLOAD NOW
Kalau muncul iklan pop-up, tutup lalu klik tombol kembali

Download lagu Calculate the bulk modulus of air from the following data about a sound wave of wavelength travellin secara gratis hanya untuk keperluan promosi. Dukung artis favorit kamu dengan membeli musik original di iTunes atau platform resmi lainnya.