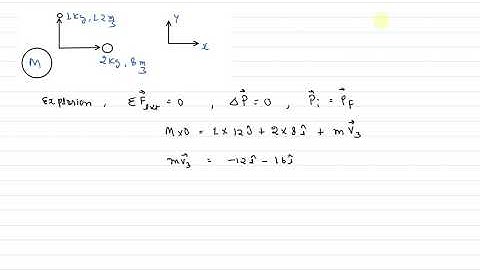
An explosion breaks a rock into three parts in a horizontal plane.... | neet physics pyqs | nlm

Tonton & Download Video Musik Gratis

⬇ DOWNLOAD NOW
Kalau muncul iklan pop-up, tutup lalu klik tombol kembali

Download lagu An explosion breaks a rock into three parts in a horizontal plane.... | neet physics pyqs | nlm secara gratis hanya untuk keperluan promosi. Dukung artis favorit kamu dengan membeli musik original di iTunes atau platform resmi lainnya.