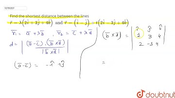
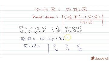
"Find the shortest distance between the following lines : (i) `vecr=4hati-hatj+lambda(hati+2hatj

Tonton & Download Video Musik Gratis

⬇ DOWNLOAD NOW
Kalau muncul iklan pop-up, tutup lalu klik tombol kembali

Download lagu "Find the shortest distance between the following lines : (i) `vecr=4hati-hatj+lambda(hati+2hatj secara gratis hanya untuk keperluan promosi. Dukung artis favorit kamu dengan membeli musik original di iTunes atau platform resmi lainnya.