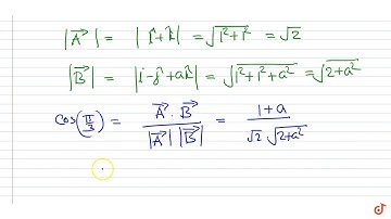
The value of \( c \) so that for all real \( x \), the vectors \( c \hat{i}-6 \hat{j}+3 \hat{k},...

Tonton & Download Video Musik Gratis

⬇ DOWNLOAD NOW
Kalau muncul iklan pop-up, tutup lalu klik tombol kembali

Download lagu The value of \( c \) so that for all real \( x \), the vectors \( c \hat{i}-6 \hat{j}+3 \hat{k},... secara gratis hanya untuk keperluan promosi. Dukung artis favorit kamu dengan membeli musik original di iTunes atau platform resmi lainnya.