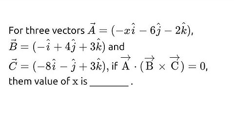
JEE MAINS PYQ SERIES||2024||For the three vectors A =-xi-6j-2k, B=-i+4j+3k and C =-8i-j+3k , A.B×C

Tonton & Download Video Musik Gratis

⬇ DOWNLOAD NOW
Kalau muncul iklan pop-up, tutup lalu klik tombol kembali

Download lagu JEE MAINS PYQ SERIES||2024||For the three vectors A =-xi-6j-2k, B=-i+4j+3k and C =-8i-j+3k , A.B×C secara gratis hanya untuk keperluan promosi. Dukung artis favorit kamu dengan membeli musik original di iTunes atau platform resmi lainnya.