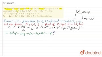
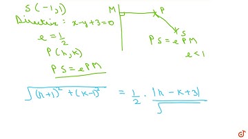
the equation of the ellipse whose foucs is S(1,-1) directrix the line `x-y-3=0` and

Tonton & Download Video Musik Gratis

⬇ DOWNLOAD NOW
Kalau muncul iklan pop-up, tutup lalu klik tombol kembali

Download lagu the equation of the ellipse whose foucs is S(1,-1) directrix the line `x-y-3=0` and secara gratis hanya untuk keperluan promosi. Dukung artis favorit kamu dengan membeli musik original di iTunes atau platform resmi lainnya.