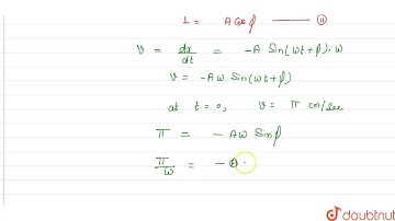
The displacement of a particle in `SHM` is `x = 3sin (20 pit) +4 cos(20pit)cm`. Its amplitude of

Tonton & Download Video Musik Gratis

⬇ DOWNLOAD NOW
Kalau muncul iklan pop-up, tutup lalu klik tombol kembali

Download lagu The displacement of a particle in `SHM` is `x = 3sin (20 pit) +4 cos(20pit)cm`. Its amplitude of secara gratis hanya untuk keperluan promosi. Dukung artis favorit kamu dengan membeli musik original di iTunes atau platform resmi lainnya.