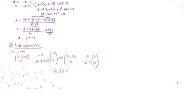
DiffEQ Section 10.6, part 1: Systems with Complex Eigenvalues

Tonton & Download Video Musik Gratis

⬇ DOWNLOAD NOW
Kalau muncul iklan pop-up, tutup lalu klik tombol kembali

Download lagu DiffEQ Section 10.6, part 1: Systems with Complex Eigenvalues secara gratis hanya untuk keperluan promosi. Dukung artis favorit kamu dengan membeli musik original di iTunes atau platform resmi lainnya.