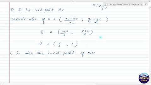
Three consecutive vertices of a parallelogram ABCD are A(1, 2), B (1, 0) and C(4, 0).

Tonton & Download Video Musik Gratis

⬇ DOWNLOAD NOW
Kalau muncul iklan pop-up, tutup lalu klik tombol kembali

Download lagu Three consecutive vertices of a parallelogram ABCD are A(1, 2), B (1, 0) and C(4, 0). secara gratis hanya untuk keperluan promosi. Dukung artis favorit kamu dengan membeli musik original di iTunes atau platform resmi lainnya.