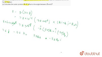
A particle with charge `7.00 mu C` is moving with velocity `vec v =- (4xx10^3 ms^-1) hat j.`

Tonton & Download Video Musik Gratis

⬇ DOWNLOAD NOW
Kalau muncul iklan pop-up, tutup lalu klik tombol kembali

Download lagu A particle with charge `7.00 mu C` is moving with velocity `vec v =- (4xx10^3 ms^-1) hat j.` secara gratis hanya untuk keperluan promosi. Dukung artis favorit kamu dengan membeli musik original di iTunes atau platform resmi lainnya.