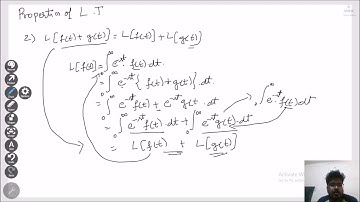
Properties of Laplace transform part 2|| engineering mathamatics 3 || vtu new syllabus

Tonton & Download Video Musik Gratis

⬇ DOWNLOAD NOW
Kalau muncul iklan pop-up, tutup lalu klik tombol kembali

Download lagu Properties of Laplace transform part 2|| engineering mathamatics 3 || vtu new syllabus secara gratis hanya untuk keperluan promosi. Dukung artis favorit kamu dengan membeli musik original di iTunes atau platform resmi lainnya.