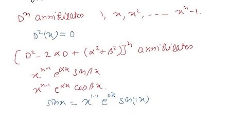
Find a Linear Differential Operator that Annihilates e^(-x)sin(x) - e^(2x)cos(x)

Tonton & Download Video Musik Gratis

⬇ DOWNLOAD NOW
Kalau muncul iklan pop-up, tutup lalu klik tombol kembali

Download lagu Find a Linear Differential Operator that Annihilates e^(-x)sin(x) - e^(2x)cos(x) secara gratis hanya untuk keperluan promosi. Dukung artis favorit kamu dengan membeli musik original di iTunes atau platform resmi lainnya.