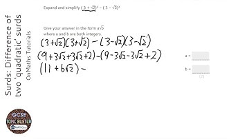
Surds: Expand Double Bracket (Both Positive) (Grade 8) - OnMaths GCSE Maths Revision

Tonton & Download Video Musik Gratis

⬇ DOWNLOAD NOW
Kalau muncul iklan pop-up, tutup lalu klik tombol kembali

Download lagu Surds: Expand Double Bracket (Both Positive) (Grade 8) - OnMaths GCSE Maths Revision secara gratis hanya untuk keperluan promosi. Dukung artis favorit kamu dengan membeli musik original di iTunes atau platform resmi lainnya.