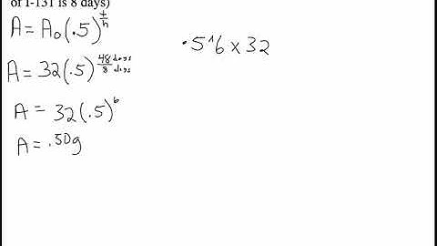
Find Initial Amount and Amount After Time From Half-Life (y=ae^(kt))

Tonton & Download Video Musik Gratis

⬇ DOWNLOAD NOW
Kalau muncul iklan pop-up, tutup lalu klik tombol kembali

Download lagu Find Initial Amount and Amount After Time From Half-Life (y=ae^(kt)) secara gratis hanya untuk keperluan promosi. Dukung artis favorit kamu dengan membeli musik original di iTunes atau platform resmi lainnya.