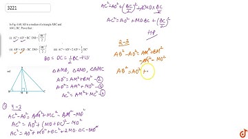
In figure, Ad is a median of a triangle ABC and `A M_|_B C` . Prove that: (i) `A C^2=A D^2+B Cdo...

Tonton & Download Video Musik Gratis

⬇ DOWNLOAD NOW
Kalau muncul iklan pop-up, tutup lalu klik tombol kembali

Download lagu In figure, Ad is a median of a triangle ABC and `A M_|_B C` . Prove that: (i) `A C^2=A D^2+B Cdo... secara gratis hanya untuk keperluan promosi. Dukung artis favorit kamu dengan membeli musik original di iTunes atau platform resmi lainnya.