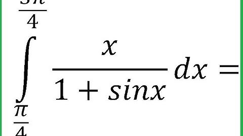
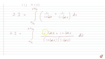
Find the integral of 1 / (1 + cosx) between the limits PI/4 and 3*PI/4.

Tonton & Download Video Musik Gratis

⬇ DOWNLOAD NOW
Kalau muncul iklan pop-up, tutup lalu klik tombol kembali

Download lagu Find the integral of 1 / (1 + cosx) between the limits PI/4 and 3*PI/4. secara gratis hanya untuk keperluan promosi. Dukung artis favorit kamu dengan membeli musik original di iTunes atau platform resmi lainnya.