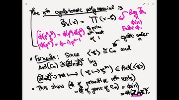
Quadratic subfields of the 12th cyclotomic field: Office Hours - august 25 2025

Tonton & Download Video Musik Gratis

⬇ DOWNLOAD NOW
Kalau muncul iklan pop-up, tutup lalu klik tombol kembali

Download lagu Quadratic subfields of the 12th cyclotomic field: Office Hours - august 25 2025 secara gratis hanya untuk keperluan promosi. Dukung artis favorit kamu dengan membeli musik original di iTunes atau platform resmi lainnya.