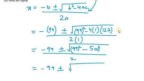
The zeroes of the quadratic polynomial x^2+99x+127 are:(A) both positive (B) both negative(C

Tonton & Download Video Musik Gratis

⬇ DOWNLOAD NOW
Kalau muncul iklan pop-up, tutup lalu klik tombol kembali

Download lagu The zeroes of the quadratic polynomial x^2+99x+127 are:(A) both positive (B) both negative(C secara gratis hanya untuk keperluan promosi. Dukung artis favorit kamu dengan membeli musik original di iTunes atau platform resmi lainnya.